In presenza di falda e in condizioni di innesco di un moto di filtrazione, si genera nel terreno una forza di filtrazione diretta verso l'alto che può annullare il peso del terreno e, se questo è privo di coesione, può trascinare le particelle e produrre un il collasso del terreno. Questo meccanismo di collasso è noto come sifonamento; esso si manifesta nel punto di sbocco della prima linea di flusso, ossia quella in aderenza alla paratia. Ulteriore fenomeno da verificare in condizioni di flusso è quello di sollevamento del fondo scavo.
| • | Tensione verticale efficace in presenza di gradiente idraulico: |
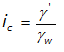
In presenza di un gradiente idraulico i, la tensione verticale efficace si calcola con la seguente formula:
![]()
nella precedente formula il significato dei simboli è il seguente:
| ▪ | γ' è il peso per unità di volume del terreno efficace; |
| ▪ | i è il gradiente idraulico; |
| ▪ | γw è il peso per unità di volume dell'acqua. |
La tensione verticale si annulla quando:

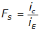
Il fattore di sicurezza nei confronti del sifonamento è dato dal rapporto tra il gradiente critico ic e quello di efflusso iE

© Geostru Software