I successivi paragrafi sono stati estrapolati dalle NTC 2008
6 PROGETTAZIONE GEOTECNICA
6.3 STABILITÀ DEI PENDII NATURALI
Le presenti norme si applicano allo studio delle condizioni di stabilità dei pendii naturali e al progetto, alla esecuzione e al controllo degli interventi di stabilizzazione.
6.3.4 VERIFICHE DI SICUREZZA
Le verifiche di sicurezza devono essere effettuate con metodi che tengano conto della forma e posizione della superficie di scorrimento, dell’assetto strutturale, dei parametri geotecnici e del regime delle pressioni interstiziali.
Nel caso di pendii in frana le verifiche di sicurezza devono essere eseguite lungo le superfici di scorrimento che meglio approssimano quella/e riconosciuta/e con le indagini.
Negli altri casi, la verifica di sicurezza deve essere eseguita lungo superfici di scorrimento cinematicamente possibili, in numero sufficiente per ricercare la superficie critica alla quale
corrisponde il grado di sicurezza più basso. Quando sussistano condizioni tali da non consentire una agevole valutazione delle pressioni interstiziali, le verifiche di sicurezza devono essere eseguite assumendo le condizioni più sfavorevoli che ragionevolmente si possono prevedere.
Il livello di sicurezza è espresso, in generale, come rapporto tra resistenza al taglio disponibile, presa con il suo valore caratteristico, e sforzo di taglio mobilitato lungo la superficie di scorrimento effettiva o potenziale.
Il grado di sicurezza ritenuto accettabile dal progettista deve essere giustificato sulla base del livello di conoscenze raggiunto, dell’affidabilità dei dati disponibili e del modello di calcolo adottato in relazione alla complessità geologica e geotecnica, nonché sulla base delle conseguenze di un’eventuale frana.
6.3.5 INTERVENTI DI STABILIZZAZIONE
La scelta delle più idonee tipologie degli interventi di stabilizzazione deve essere effettuata solo dopo aver individuato le cause promotrici della frana e dipende, oltre che da queste, da forma e posizione della superficie di scorrimento.
La valutazione dell’incremento di sicurezza indotto dagli interventi di stabilizzazione lungo la superficie di scorrimento critica deve essere accompagnata da valutazioni del grado di sicurezza lungo superfici di scorrimento alternative a quella critica.
Il progetto degli interventi di stabilizzazione deve comprendere la descrizione completa dell’intervento, l’influenza delle modalità costruttive sulle condizioni di stabilità, il piano di monitoraggio e un significativo piano di gestione e controllo nel tempo della funzionalità e dell’efficacia dei provvedimenti adottati. In ogni caso devono essere definiti l’entità del miglioramento delle condizioni di sicurezza del pendio e i criteri per verificarne il raggiungimento.
6.8 OPERE DI MATERIALI SCIOLTI E FRONTI DI SCAVO
Le presenti norme si applicano ai manufatti di materiali sciolti, quali rilevati, argini di difesa per fiumi, canali e litorali, rinfianchi, rinterri, terrapieni e colmate. Le norme si applicano, inoltre, alle opere e alle parti di opere di materiali sciolti con specifiche funzioni di drenaggio, filtro, sciolti sono oggetto di normativa specifica.
6.8.1 CRITERI GENERALI DI PROGETTO
Il progetto di un manufatto di materiali sciolti deve tenere conto dei requisiti prestazionali richiesti e delle caratteristiche dei terreni di fondazione. Esso deve comprendere la scelta dei materiali da costruzione e la loro modalità di posa in opera.
I criteri per la scelta dei materiali da costruzione devono essere definiti in relazione alle funzioni dell’opera, tenendo presenti i problemi di selezione, coltivazione delle cave, trasporto, trattamento e posa in opera, nel rispetto dei vincoli imposti dalla vigente legislazione.
Nel progetto devono essere indicate le prescrizioni relative alla qualificazione dei materiali e alla posa in opera precisando tempi e modalità di costruzione, in particolare lo spessore massimo degli strati in funzione dei materiali. Sono altresì da precisare i controlli da eseguire durante la costruzione e i limiti di accettabilità dei materiali, del grado di compattazione da raggiungere e della deformabilità degli strati.
6.8.2 VERIFICHE DI SICUREZZA (SLU)
La verifica di stabilità globale dell'insieme terreno-opera deve essere effettuata secondo la combinazione 2 dell'Approccio progettuale 1:
Combinazione 2: (A2+M2+R2)
tenendo conto dei coefficienti parziali riportati nelle Tabelle 6.2.I e 6.2.II e 6.8.I delle NTC2008.
Coefficiente |
R2 |
|---|---|
γR |
1,10 |
Tabella 6.8.I - Coefficienti parziali per le verifiche di sicurezza di opere di materiali sciolti e di fronti di scavo.
7 PROGETTAZIONE PER AZIONI SISMICHE
7.11.3.5 Stabilità dei pendii
La realizzazione di strutture o infrastrutture su versanti o in prossimità del piede o della sommità di pendii naturali richiede la preventiva verifica delle condizioni di stabilità, affinché prima, durante e dopo il sisma la resistenza del sistema sia superiore alle azioni ovvero gli spostamenti permanenti indotti dal sisma siano di entità tale da non pregiudicare le condizioni di sicurezza o di funzionalità delle strutture o infrastrutture medesime.
7.11.3.5.1 Azione sismica
L’azione sismica di progetto da assumere nelle analisi di stabilità deve essere determinata in accordo ai criteri esposti nel § 3.2.3. Nel caso di pendii con inclinazione maggiore di 15° e altezza maggiore di 30 m, l’azione sismica di progetto deve essere opportunamente incrementata o attraverso un coefficiente di amplificazione topografica (vedi §§ 3.2.2 e 3.2.3) o in base ai risultati di una specifica analisi bidimensionale della risposta sismica locale, con la quale si valutano anche gli effetti di amplificazione stratigrafica.
In generale l’amplificazione tende a decrescere sotto la superficie del pendio. Pertanto, gli effetti topografici tendono a essere massimi lungo le creste di dorsali e rilievi, ma si riducono sensibilmente in frane con superfici di scorrimento profonde. In tali situazioni, nelle analisi pseudostatiche gli effetti di amplificazione topografica possono essere trascurati (ST =1).
7.11.3.5.2 Metodi di analisi
L’analisi delle condizioni di stabilità dei pendii in condizioni sismiche può essere eseguita mediante metodi pseudostatici, metodi degli spostamenti e metodi di analisi dinamica.
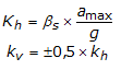
Nelle analisi, si deve tenere conto dei comportamenti di tipo fragile, che si manifestano nei terreni a grana fina sovraconsolidati e nei terreni a grana grossa addensati con una riduzione della resistenza al taglio al crescere delle deformazioni. Inoltre, si deve tener conto dei possibili incrementi di pressione interstiziale indotti in condizioni sismiche nei terreni saturi. Nei metodi pseudostatici l’azione sismica è rappresentata da un’azione statica equivalente, costante nello spazio e nel tempo, proporzionale al peso W del volume di terreno potenzialmente instabile. Tale forza dipende dalle caratteristiche del moto sismico atteso nel volume di terreno potenzialmente instabile e dalla capacità di tale volume di subire spostamenti senza significative riduzioni di resistenza. Nelle verifiche allo stato limite ultimo, in mancanza di studi specifici, le componenti orizzontale e verticale di tale forza possono esprimersi come Fh = kh×W ed Fv = kv×W, con kh e kv rispettivamente pari ai coefficienti sismici orizzontale e verticale:

dove
βS |
coefficiente di riduzione dell’accelerazione massima attesa al sito; |
amax |
accelerazione orizzontale massima attesa al sito; |
g |
accelerazione di gravità. |
In assenza di analisi specifiche della risposta sismica locale, l’accelerazione massima attesa al sito può essere valutata con la relazione:
![]()
dove
S |
coefficiente che comprende l’effetto dell’amplificazione stratigrafica (SS) e dell’amplificazione topografica (ST), di cui al § 3.2.3.2; |
ag |
accelerazione orizzontale massima attesa su sito di riferimento rigido. |
I valori di βS sono riportati nella Tab. 7.11.I.
Categoria di sottosuolo |
||
A |
B, C, D, E |
|
βS |
βS |
|
0,2<ag(g)≤0,4 |
0,30 |
0,28 |
0,1<ag(g)≤0,2 |
0,27 |
0,24 |
ag(g)≤0,1 |
0,20 |
0,20 |
Tabella 7.11.I – Coefficienti di riduzione dell’accelerazione massima attesa al sito.
Le analisi del comportamento dei pendii in condizioni sismiche possono essere svolte anche mediante il metodo degli spostamenti, in cui la massa di terreno potenzialmente in frana viene assimilata ad un corpo rigido che può muoversi rispetto al terreno stabile lungo una superficie di scorrimento. Il metodo permette la valutazione dello spostamento permanente indotto dal sismanella massa di terreno potenzialmente instabile.
L’applicazione del metodo richiede che l’azione sismica di progetto sia rappresentata mediante storie temporali delle accelerazioni.
Gli accelerogrammi impiegati nelle analisi, in numero non inferiore a 5, devono essere rappresentativi della sismicità del sito e la loro scelta deve essere adeguatamente giustificata (vedi § 3.2.3.6).
7.11.4 FRONTI DI SCAVO E RILEVATI
Il comportamento in condizioni sismiche dei fronti di scavo e dei rilevati può essere analizzato con gli stessi metodi impiegati per i pendii naturali. Nelle verifiche di sicurezza si deve controllare che la resistenza del sistema sia maggiore delle azioni impiegando i coefficienti parziali di cui al § 7..11.1.. Si deve inoltre tener conto della presenza di manufatti interagenti con l’opera.
© GeoStru Software