Criterio di rottura Hoek-Brown

  Previous topic Next topic  

 

Il criterio di rottura di Hoek-Brown

 

Hoek e Brown hanno introdotto il loro criterio di rottura nel tentativo di fornire dei dati per le analisi necessarie alla progettazione di scavi sotterranei in roccia dura. Il criterio è stato derivato dai risultati della ricerca, sulla rottura fragile della roccia intatta, di Hoek e, su studi del modello del comportamento dell’ammasso roccioso giuntato, di Brown.

Il criterio è partito dalle proprietà della roccia intatta e ha introdotto dei fattori per ridurre queste proprietà sulla base delle caratteristiche dei giunti in un ammasso roccioso. Gli autori hanno cercato di collegare il criterio empirico ad osservazioni geologiche per mezzo di uno degli schemi di classificazione disponibili dell’ammasso roccioso e, a tal fine, hanno scelto la classificazione proposta da Bieniawski.

A causa della mancanza di alternative adeguate, il criterio è stato presto adottato dalla comunità della meccanica delle rocce ed il suo utilizzo si diffuse rapidamente al di là dei limiti originali usati nel derivare le relazioni per la riduzione della resistenza.

Di conseguenza, si è reso necessario riesaminare queste relazioni ed introdurre di volta in volta nuovi elementi  in ragione della vasta gamma di problemi pratici a cui il criterio è stato applicato. Tipiche di questi miglioramenti sono state l'introduzione del concetto di ammassi rocciosi  'indisturbati' e 'disturbati' di Hoek e Brown, e l'introduzione di un criterio modificato per imporre  a zero la resistenza a trazione dell’ammasso roccioso per gli ammassi di qualità molto scarsa (Hoek, Wood and Shah).

Una delle prime difficoltà derivava dal fatto che molti problemi geotecnici, in particolare problemi di stabilità dei pendii, sono più convenientemente affrontati in termini di tensioni tangenziali e normali piuttosto che con le relazioni della tensione principale del criterio originale di Hoek-Brown, definita con l'equazione:

 

                                                                                                                                    [1]

 

dove e sono rispettivamente la maggiore e minore tensione efficace a rottura principale, è la resistenza alla compressione uniassiale del materiale roccioso intatto e m ed s sono costanti del materiale, dove s = 1 per la roccia intatta.

Una relazione esatta tra l’equazione 1 e le tensioni a rottura normali e tangenziali è stata ottenuta da J. W. Bray e successivamente da Ucar e Londe.

Hoek ha discusso la derivazione di angoli di attrito equivalenti e forze coesive per varie situazioni pratiche. Queste derivazioni si basavano sulle tangenti all’inviluppo di Mohr ottenuto da Bray. Hoek ha suggerito che la forza coesiva determinata inserendo una tangente all'inviluppo curvilineo di Mohr è un valore limite superiore e può dare risultati ottimistici nei calcoli di stabilità. Di conseguenza, un valore medio, determinato dall’inserimento di una relazione lineare di Mohr-Coulomb con il metodo dei minimi quadrati, potrebbe essere più appropriato. In questo lavoro Hoek ha introdotto anche il concetto del Criterio Generalizzato di Hoek-Brown nel quale la forma del piano della tensione principale o dell’inviluppo di Mohr poteva essere modificata per mezzo di un coefficiente variabile a in luogo del termine della radice quadrata nell’equazione 1.

Hoek e Brown hanno cercato di consolidare tutti i precedenti miglioramenti in una presentazione completa del criterio di rottura e hanno dato un certo numero di esempi concreti per illustrare la sua applicazione pratica.

In aggiunta ai cambiamenti nelle equazioni, è stato anche riconosciuto che la classificazione dell’ammasso roccioso di Bieniawski non era più adeguata come veicolo di relazione tra il criterio di rottura e le osservazioni geologiche nel settore, in particolare per gli ammassi rocciosi molto deboli. Ciò ha comportato l’introduzione dell’indice GSI di Hoek, Wood e Shah, Hoek e Hoek, Kaiser e Bawden. Questo indice fu successivamente esteso per gli ammassi rocciosi deboli in una serie di articoli da Hoek, Marinos e Benissi, Hoek e  Marinos e Marinos e Hoek.

 

 

Il Criterio Generalizzato di Hoek-Brown

 

Questo è espresso come

                                                                                                                                  [2]

dove mb è un valore ridotto della costante del materiale mi ed è dato da

 

                                                                                                                                     [3]

s ed a sono costanti per l’ammasso roccioso date dalle seguenti relazioni:

 

                                                                                                                                             [4]

                                                                                                                                      [5]

D è un fattore che dipende dal grado di disturbo a cui la massa rocciosa è sottoposta dal danneggiamento dell’esplosione e dal rilassamento della tensione. Esso varia da 0 per masse rocciose in situ indisturbate a 1 per masse rocciose molto disturbate (ved. Linee Guida per la selezione di D).

La resistenza alla compressione uniassiale è ottenuta fissando nell’equazione 2

 

fornendo

                                                                                                                                                           [6]

e, la resistenza a trazione è data da:

                                                                                                                                                            [7]

L’equazione 7 è stata ottenuta impostando

nell’equazione 2. Questa rappresenta una condizione di tensione biassiale. Hoek ha dimostrato che, per materiali fragili, la resistenza a trazione uniassiale è uguale alla resistenza a trazione biassiale.

Si noti che il ‘passaggio’ a GSI = 25 per i coefficienti s e a è stato eliminato nelle equazioni 4 e 5 che danno transizioni continue uniformi per l’intera gamma dei valori di GSI. I valori numerici di a ed s, dati da queste equazioni, sono molto simili a quelli dati dalle precedenti equazioni.

Le tensioni normali e tangenziali sono correlate alle tensioni principali attraverso le equazioni pubblicate da Balmer.

 

                                                                                                                       [8]

                                                                          [9]

                                                                                                                          [10]

 

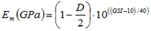
Modulo di deformazione

 

Il modulo di deformazione dell’ammasso roccioso è dato da:

                                                                  [11a]

L’equazione 11a vale per

 

Per

si usa l’equazione 11b.

                                                    [11b]

 

Si noti che l’equazione originale proposta da Hoek e Brown è stata modificata, con l’inclusione del fattore D, per consentire gli effetti dei danni dell'esplosione e del rilassamento della tensione.

 

 

 


© GeoStru Software