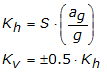
L’OPCM 3274 e successive modifiche, calcola i coefficienti sismici orizzontale Kh e verticale Kv che interessano tutte le masse come:

dove:
ag = è l'accelerazione massima attesa al sito
S = fattore dipendente dal tipo di suolo secondo lo schema:
Suolo di tipo A - S=1; Suoli molto rigidi;
Suolo di tipo B - S=1.25, Depositi molto addensati o argille molto consistenti;
Suolo di tipo C - S=1.25, Depositi mediamente addensati o argille di media consistenza;
Suolo di tipo D - S=1.35, Depositi di terreni granulari sciolti o poco addensati;
Suolo di tipo E - S=1.25, Profili di terreno costituiti da strati superficiali alluvionali;
Per fondazioni su pendii con inclinazione superiore a 15° e dislivello superiore a 30 m, l’azione sismica deve essere moltiplicandola per il coefficiente di amplificazione topografica ST:
| - | ST ≥ 1,2 per siti in prossimità del ciglio superiore di pendii scoscesi isolati; |
| - | ST ≥ 1,4 per siti prossimi alla sommità di profili topografici aventi larghezza in testa molto inferiore alla larghezza alla base e pendenza media > 30°; ST ≥ 1,2 per siti dello stesso tipo ma pendenza media inferiore. |
© GeoStru Software