La ricerca dei primi arrivi viene effettuata cliccando col mouse direttamente sul sismogramma o inserendo i tempi nella griglia. I segni rossi sul sismogramma evidenziano i valori selezionati per ciascuna traccia.

Il software è dotato di un sistema automatico di picking che permette una individuazione preliminare dei primi arrivi. Tale opzione è selezionabile dal menu Tracce presente nella barra.

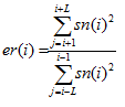
L'algoritmo implementato ricalca la metodologia conosciuta come Energy Ratio Method. Tale metodologia prevede l'individuazione di una finestra temporale del segnale da dividere in due intervali uguali su cui si calcola l'energia del segnale. Il valore per cui è massimo il rapporto tra le energie calcolate per le due finestre rappresenta il primo arrivo dell'onda.
Analiticamente la funzione energy ratio (er) è così determinata:

dove L rappresenta la larghezza della finestra in campioni.
In accordo a quanto detto è necessario assegnare come parametro di analisi la larghezza della finestra da utilizzare (è un valore assegnato in ms che poi viene convertito, tramite il periodo di campionamento, in numero di campioni). Il parametro L, tipicamente, viene scelto pari ad una lunghezza d'onda del segnale, individuabile dal sismogramma come tempo necessario per il completamento di un'oscillazione completa o come distanza temporale tra due creste.
L'ultimo parametro da impostare è il tempo entro il quale si vogliono determinare i primi arrivi. Tale impostazione è indispensabile per migliorare la ricerca da parte dell'algoritmo del miglior rapporto segnale/rumore.
Alcune opzioni grafiche permettono un controllo più accurato della fase di selezione dei primi arrivi.

Il pulsante "Amplificazione tracce..." consente di alterare la visualizzazione delle tracce applicando un fattore amplificativo. Per ciascun file utilizzato nell'elaborazione è data la possibilità di scegliere un fattore per ogni traccia.

La tecnica di completamento automatico dei dati mancanti determina il fattore di amplificazione mediante interpolazione lineare dei lati non nulli inseriti nella griglia.
Le altre opzioni di visualizzazione consentono di fissare la finestra di lavoro per le tracce ("Tempo max. visualizzato"), espandere o comprimere l'asse sei tempi ("Time zoom"), visualizzare una singola traccia ed evidenziare le parti positive o negative delle onde.
Infine, abilitando l'opzione "Visualizza zoom su finestra separata" viene mostrato il dettaglio dell'onda per la quale si sta cercando il primo arrivo in una finestra fluttuante dove è possibile scegliere anche l'intervallo di ampiezza temporale da diagrammare.

© Geostru Software